Lompat ke konten Lompat ke sidebar Lompat ke footer

Pembahasan Soal Buku Paket/BSE Matematika SMP Kelas 8 Halaman 24 (Kurikulum Merdeka)



Berikut ini mimin sajikan pembahasan beberapa soal Buku Paket/BSE matematika SMP kelas 8 halaman 24 (kurikulum merdeka). Selamat membaca, sobat. Semoga bermanfaat. 

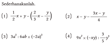
Soal nomor 1
Jawab:
$\begin{aligned}  (1).&\frac{1}{2}x + y-(\frac{2}{3}x-\frac{y}{2})\\&= \frac{x}{2} + y-\frac{2x}{3}+\frac{y}{2}\\&= \frac{3x}{6}-\frac{4x}{6} + \frac{2y}{2}+\frac{y}{2}\\&= -\frac{x}{6}+\frac{3y}{2}\\&= -\frac{1}{6}x+\frac{3}{2}y\\ \\ (2).& x-y-\frac{3x-y}{4}\\&= \frac{4x}{4}-\frac{4y}{4}-\frac{3x-y}{4}\\&= \frac{4x-4y-3x+y}{4}\\&= \frac{x-3y}{4}\\ \\ (3).&3a^2:6ab \times (-2a)^2\\&= 3a^2 \times \frac{1}{6ab} \times (-2a)^2\\&= \frac{12a^4}{6ab}\\&= \frac{2a^3}{b}\\ \\(4).&9x^2 \times (-xy) : \frac{3}{5}y^3\\&= 9x^2 \times (-xy) \times  \frac{5}{3y^3}\\&= -\frac{45x^3y}{3y^3}\\&= -\frac{15x^3}{y^2}  \end{aligned}$

Soal nomor 2
Jawab:
Misalkan bentuk aljabar yang dimaksud adalah $C$ maka $A-C=B$
Sehingga
$\begin{aligned} A-C&=B \\ C&=A-B\\ &= (x^2-3x-5)-(-2x^2+x+7)\\&= x^2-3x-5+2x^2-x-7\\&= x^2+2x^2-3x-x-5-7\\&= 3x^2-4x-12    \end{aligned}$
Jadi, bentuk aljabarnya adalah $3x^2-4x-12$

Soal nomor 3
Jawab:
Diketahui jari-jari alas tabung $A$ adalah $r~cm$ dan tingginya $t~cm$
Sehingga
Volume tabung $A$ adalah $\pi r^2t~cm^3$

Karena tabung $B$ memiliki jari-jari alas dua kali panjang jari-jari alas tabung A $(2r)$ dan tingginya $\frac{1}{2}$ dari tinggi tabung A $(\frac{1}{2}t)$
Volume tabung $B$ adalah 
$\pi \times (2r)^2 \times \frac{1}{2}t= 2 \pi r^2 t~cm^3$
Jadi, volume tabung $B$ adalah 2 kali volume tabung $A$

Soal nomor 4
Jawab:
Jumlah 3 buah bilangan yang berurutan secara vertikal pada kalender adalah 3 kali bilangan yang ditengah. 
Jika bilangan terkecilnya adalah $n$ maka 3 buah bilangan yang berderet vertikal adalah 
$n-1,n,n+1 $

Jumlah ketiganya adalah
$(n-1)+n+(n+1)=3n$
$n$ adalah bilangan tengah, maka $3n$ adalah 3 kali lipat bilangan tengah.
Jadi, jumlah 3 buah bilangan yang berurutan pada kalender adalah sama dengan 3 kali lipat bilangan tengahnya.  

Demikianlah pembahasan beberapa soal Buku Paket/BSE matematika SMP kelas 8 halaman 24 (kurikulum merdeka). Semoga bermanfaat. 

Referensi
Tim Gakko Tosho. 2021. Matematika untuk Sekolah Menengah Pertama Kelas VIII . Jakarta: Kementerian Pendidikan, Kebudayaan, Riset, dan Teknologi.